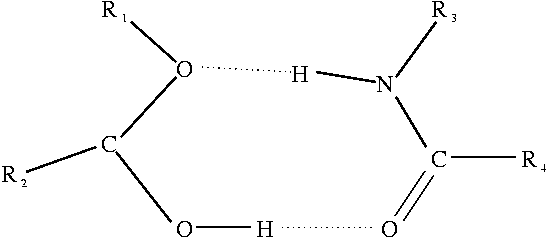
Proton Transfer Reactions
Bifunctional catalysis of mutarotaion of tetramethyl glucose by 2-pyridinone
- Coordinated transfer of protons
- First reaction step in conversion of alpha to beta TMG
- Nonadiabatic process: changes in quantum state of proton during transfer
We are developing methods of studying the detailed kinetics of proton transfer reactions using a mixture of quantum and classical dynamics. These reactions are complicated due to a breakdown of the Born-Oppenheimer approximation, which leads to quantum transitions as the heavy nuclei move during the reaction.
We are approaching this problem along two fronts: The first involves using classical transition state theory to describe the kinetics of the proton transfer reaction. Because hydrogen-bonded systems are difficult to describe accurately, we have developed Monte-Carlo methods which use classically motivated importance functions to improve sampling from an ab-initio, DFT potential. This method drastically reduces the correlation time in the simulation and allows good statistical data to be obtained. Quantum corrections are also incorporated into the description using path-integral methods.
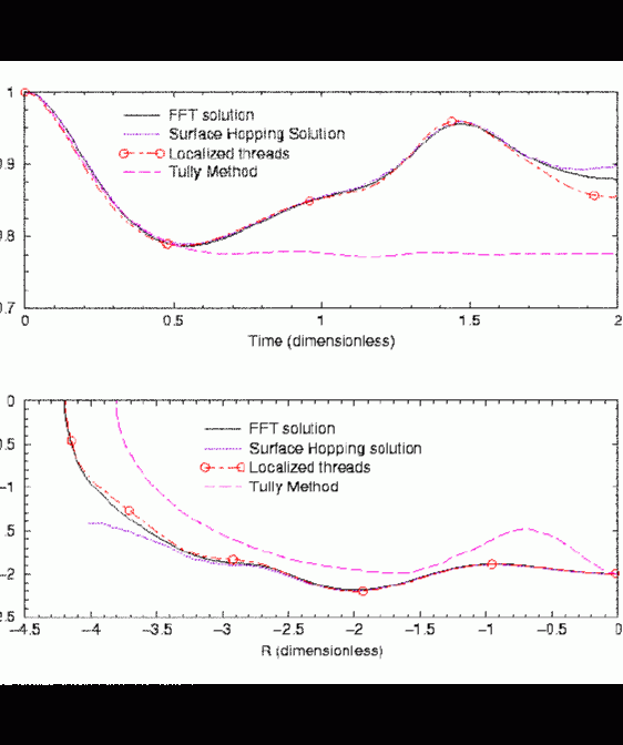
The second approach is to describe the kinetic process in detail by performing molecular dynamics simulations in which quantum transitions are allowed to occur. We have developed an approximate scheme for performing these simulations. The method has been tested on simple model systems like:
The new method gives results superior to other current techniques and should be amenable to the calculation of rate constants for real proton transfer systems.
Model Potentials
This page is maintained by jmschofi@chem.utoronto.ca
Created September 15, 1997. Last updated September, 2016.