Recorded Presentations:

  • Initiative for the Theoretical Sciences and the CUNY: Quantum Master Equations for Open System Quantum Dynamics 2 (April 2022)
    Pic
    (My presentation starts at 33 min)


  • ICTS program on CLASSICAL AND QUANTUM TRANSPORT PROCESSES : CURRENT STATE AND FUTURE (2022) Meeting Pic



  • Conference on Quantum ThermoDynamics ICFO Barcelona (2020) Meeting Pic




  • Quarantine Thermo (2020) Pic



  • Full Counting Statistics in Quantum Thermodynamics: Absorption refrigerator at strong coupling Presentation: ITAMP, Oct. 2017 conference recording


    Research Topics with presentations (PDF):

    Quantum transport at the nanoscale: Current, noise and the thermodynamic uncertainty relation
  • Heat transport in the spin-boson model
  • Phonon-assisted electron transport
  • Quantum transport with Influence Functional Path Integral (INFPI)
  • Full Counting Statistics (charge, energy) Presentation: TUB Dec. 2016
  • Molecular thermoelectricity
  • Photon emission in circuit-QED systems
  • The Probe technique: charge and energy transport Presentation: San Sebastian June 2016
  • Charge transport in DNA Presentation: CSC 2018
  • Vibrational Heat Transport in Molecular Junctions
  • double-dot Aharonov-Bohm interferometer



    CODES: Buttiker's probe in molecular electronics

    PUBLICATIONS

    2025   2024   2023   2022   2021   2020   2019   2018   2017   2016   2015   2014   2013   2012   2011   2010   2009   2008   Earlier work  

    arXiv submissions, Google Scholar


      2026 back to top  

    1. Quantum Transport in Disordered Spin Networks: Emergent Timescales and Competing Pathways
      Roi Nevo, Brett Min, Maggie Lawrence, Dvira Segal, and Nir Bar-Gill
      Pic arXiv:2605.08918






    2. Design Principles for Enhanced Quantum Transport with Site-Dependent Noise
      Maggie Lawrence, Elise Wang, and Dvira Segal
      Pic 2604.23005






    3. Impossibility of Refrigeration and Engine Operation in Minimal Qubit Repeated-Interaction Models
      Gabrielle Barsky-Giles*, Alessandro Prositto*, Matthew Gerry, and Dvira Segal
      *Equal contribution
      arXiv:2602.18300 Pic
      JCP 164, 184118 (2026)





    4. Tuning molecular thermal conductance through endgroup modification and halogen substitution a
      Jonathan J. Wang and Dvira Segal
      arXiv:2512.12478 Pic
      The Journal of Physical Chemistry C 130, 12, 4618–4626 (2026)





    5. Compact cavity-dressed Hamiltonian framework at arbitrarily strong light-matter coupling
      Jakub Garwola and Dvira Segal
      Pic 2511.11903








    6. Collisional model with dissipative and dephasing baths: Nonadditive effects at strong coupling
      Alessandro Prositto, Carlos Ramon-Escandell, and Dvira Segal
      Pic arXiv:2509.10988
      New J. Phys. 28 014502 (2026)










    7. Discovery of energy landscapes towards optimized quantum transport: Environmental effects and long-range tunneling
      Maggie Lawrence, Matthew Pocrnic, Erin Fung, Juan Carrasquilla, Erik M. Gauger, and Dvira Segal
      arXiv:2508.09371
      Phys. Rev. Research 8, 013163 (2026) Pic
      2025 back to top  






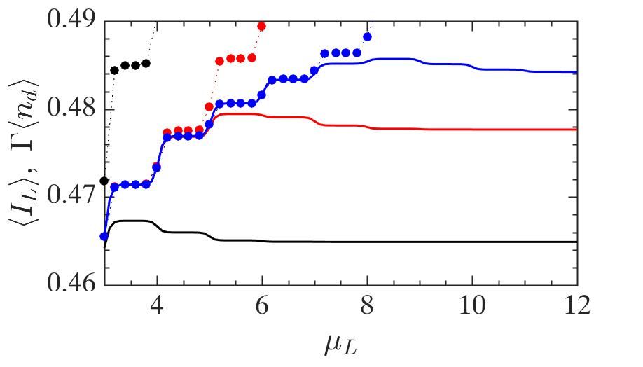
    8. Separation of relaxation timescales via strong system-bath coupling: Dissipative three-level system as a case study Pic
      Brett Min, Matthew Gerry, and Dvira Segal
      Physical Review A 112, 062226 (2025).
      arXiv:2507.11712




    9. Pic

      Algorithms and Software for Open Quantum System Dynamics (Editorial)
      Alex Chin, Jonathan Keeling, Dvira Segal, and Haobin Wang
      J. Chem. Phys. 163, 050401 (2025)


    10. Pic Thermal state preparation by repeated interactions at and beyond the Lindblad limit,
      Carlos Ramon-Escandell, Alessandro Prositto, and Dvira Segal


      arXiv:2506.12166
      Phys. Rev. Research, 7 (4), 043012 (2025).





    11. Pic Suppression of decoherence dynamics by a dissipative bath at strong coupling
      Jitian Chen*, Jakub Garwola*, and Dvira Segal
      *equal contribution
      arXiv:2504.02796
      Phys. Rev. A 112, 022209 (2025)



    12. Pic Equilibrium and nonequilibrium steady states with the repeated interaction protocol: Relaxation dynamics and energetic cost
      Alessanro Porssitto, Madeline Forbes and Dvira Segal
      arXiv:2501.05392
      Quantum Science and Technology 10, 025061 (2025)


    13. Pic Optimal qubit-mediated quantum heat transfer via non-commuting operators and strong coupling effects
      Marlon Brenes, Jakub Garwola and Dvira Segal
      arXiv:2501.04220
      Phys. Rev. B 111, 235440 (2025)
      Editors' Suggestion





    14. Mixed-state phase transitions in spin-Holstein models
      Brett Min*, Yuxuan Zhang*, Yuxuan Guo*, Dvira Segal, Yuto Ashida
      * equal contribution
      arXiv:2412.02733
      Phys. Rev. B 111, 115123 (2025) Pic








    15. Machine learning delta-T noise for temperature bias estimation
      Matthew Gerry*, Jonathan Wang*, Joanna Li, Ofir Shein-Lumbroso, Oren Tal, and Dvira Segal,
      * equal contribution
      arXiv:2412.00288
      J. Chem. Phys. 162, 084108 (2025) Pic










    16. Quantum Simulation of Lindbladian Dynamics via Repeated Interactions
      Matthew Pocrnic, Dvira Segal, Nathan Wiebe
      arXiv:2312.05371

      J. Phys. A: Mathematical and Theoretical 2025 Pic




    17. Specificity and tunability of efflux pumps: a new role for the proton gradient?
      Matthew Gerry, Duncan Kirby, Boian S. Alexandrov, Dvira Segal, Anton Zilman
      bioRxiv
      PLOS Computational Biology 2025 Pic











    18. Random walk with horizontal and cyclic currents
      Joanna Li, Matthew Gerry, Israel Klich, and Dvira Segal
      Phys. Rev. E 111, 014120 (2025)
      arXiv:2407.03629 Pic








      2024 back to top  


    19. Open quantum systems with noncommuting coupling operators: An analytic approach
      Jakub Garwola and Dvira Segal
      Phys. Rev. B 110, 174304 (2024)
      arXiv:2408.01865
      Pic





    20. Measurement-induced entanglement transition in chaotic quantum Ising chain
      Manali Malakar, Marlon Brenes, Dvira Segal, Alessandro Silva
      arXiv:2407.08703
      Phys. Rev. B 110, 134316 (2024)

      Pic








    21. Role of Bath-Induced Many-Body Interactions in the Dissipative Phases of the Su-Schrieffer-Heeger Model
      Brett Min, Kartiek Agarwal, Dvira Segal
      arXiv:2406:13878
      Physical Review B 110 (12), 125415, 2024 Pic












    22. Bath-induced interactions and transient dynamics in open quantum systems at strong coupling: Effective Hamiltonian approach
      Marlon Brenes, Brett Min, Nicholas Anto-Sztrikacs, Nir Bar-Gill, and Dvira Segal,
      arXiv:2403.03386
      J. Chem. Phys. 160, 244106 (2024) Pic









    23. Thermal transport in fullerene-based molecular junctions: Molecular dynamics simulations,
      Joanna Li, Jonathan J. Wang, and Dvira Segal
      J. Phys.: Condens. Matter 36, 325901 2024
      arXiv:2402.06172
      Pic









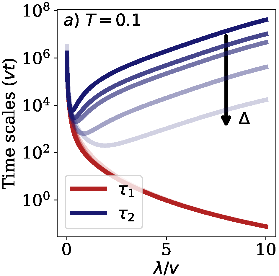
    24. Understanding multiple timescales in quantum dissipative dynamics: insights from quantum trajectories,
      Matthew Gerry, Michael J. Kewming, and Dvira Segal
      arXiv:2402.04524
      Phys. Rev. Research 6, 033106 (2024) Pic








    25. Bath-engineering magnetic order in quantum spin chains: An analytic mapping approach
      Brett Min, Nicholas Anto-Sztrikacs, Marlon Brenes, and Dvira Segal
      arXiv:2401.06227
      Phys. Rev. Lett., 132, 266701 (2024); Editors' Suggestions
      Pic










    26. Composite QDrift-Product Formulas for Quantum and Classical Simulations in Real and Imaginary Time
      Matthew Pocrnic, Matthew Hagan, Juan Carrasquilla, Dvira Segal, Nathan Wiebe
      arXiv:2306.16572
      Phys. Rev. Research 6, 013224 (2024)
      Pic



    27. Challenges in molecular dynamics simulations of heat exchange statistics
      Jonathan J. Wang, Matthew Gerry, Dvira Segal
      arXiv:2311.07830
      J. Chem. Phys. 160, 074111 (2024) Pic











    28. Bypassing thermalization timescales in temperature estimation using prethermal probes
      Nicholas Anto-Sztrikacs, Harry J. D. Miller, Ahsan Nazir, Dvira Segal
      arXiv:2311:05496
      Phys. Rev. A Lett. 109, L060201 (2024). Pic







    29. Delta-T flicker noise demonstrated with molecular junctions
      Ofir Shein-Lumbroso, Matthew Gerry, Abhay Shastry, Ayelet Vilan, Dvira Segal, and Oren Tal
      Nano Letters 24, 6, 1981–1987 2024
      supp material: Theory+Exp Pic









      2023 back to top  


    30. Effective-Hamiltonian theory: An approximation to the equilibrium state of open quantum systems
      Nicholas Anto-Sztrikacs, Brett Min, Marlon Brenes, Dvira Segal
      arXiv:2307.14330
      Phys. Rev. B 108, 115437 (2023) Pic











    31. Multi-spin probes for thermometry in the strong-coupling regime
      Marlon Brenes and Dvira Segal
      arXiv:2307:04232
      Phys. Rev. A 108, 032220 (2023). Pic






    32. Random walks on modular chains: Detecting structure through statistics
      Matthew Gerry and Dvira Segal
      arXiv:2305.09759
      Phys. Rev. E 108, 024135 (2023) Pic






    33. Variational Quantum Eigensolvers in the Era of Distributed Quantum Computers,
      Ilia Khait, Edwin Tham, Dvira Segal, and Aharon Brodutch
      arXiv:2302.14067
      Phys. Rev. A 108, L050401 (2023) Pic






    34. Hyper-acceleration of quantum thermalization dynamics by bypassing long-lived coherences: An analytical treatment
      Felix Ivander, Nicholas Anto-Sztrikacs, and Dvira Segal
      arXiv:2301.06135
      Phys. Rev. E 108, 014130 (2023).
      Pic Pic







    35. Full counting statistics and coherences: fluctuation symmetry in heat transport with the Unified quantum master equation
      Matthew Gerry and Dvira Segal
      arXiv:2212.11307
      Phys. Rev. E 107, 054115 (2023) Pic





    36. Particle current statistics in driven mesoscale conductors
      Marlon Brenes, Giacomo Guarnieri, Archak Purkayastha, Jens Eisert, Dvira Segal and Gabriel Landi
      arXiv:2211.13832
      Phys. Rev. B 108, L081119 (2023) (Letter) Pic








    37. Effective Hamiltonian theory of open quantum systems at strong coupling
      Nicholas Anto-Sztrikacs, Ahsan Nazir, and Dvira Segal
      arXiv:2211.05701 (just about 30 pages)
      PRX Quantum 4, 020307 (2023) Pic









    38. Simulating time evolution on distributed quantum computers
      Finn Lasse Buessen, Dvira Segal and Ilia Khait
      Phys. Rev. Research 5, L022003 (2023)
      arXiv:2208.07487 Pic






      2022 back to top  


    39. Pic Simulations of Heat Transport in Single-Molecule Junctions: Investigations of the Thermal Diode Effect
      Jonathan J. Wang, Jie Gong, Alan J. H. McGaughey, and Dvira Segal arXiv:2209.06266
      J. Chem. Phys. 157 174105 (2022).





    40. Quantum coherence-control of thermal energy transport: The V model as a case study
      Felix Ivander, Nicholas Anto-Sztrikacs and Dvira Segal Pic
      arXiv:2207.09512
      New Journal of Physics, 24 103010 (2022).




    41. Long-Range Charge Transport in Homogeneous and Alternating-Rigidity Chains
      Francisco Lai Liang and Dvira Segal Pic
      arXiv:2205.14849
      J. Chem. Phys. 157, 104106 (2022)





    42. Quantum Thermal Transport Beyond Second Order with the Reaction Coordinate Mapping
      Nicholas Anto-Sztrikacs, Felix Ivander, and Dvira Segal Pic
      arXiv:2203.06165
      J. Chem. Phys. 156, 214107 (2022)





    43. Quantum flicker noise in atomic and molecular junctions
      Ofir Shein‐Lumbroso, Junjie Liu,*, Abhay Shastry,*, Dvira Segal, and Oren Tal,
      * equal contribution
      Physics Highlight: Pink Noise as a Probe of Quantum Transport
      arXiv:2108.10370
      Phys. Rev. Lett. 128, 237701 (2022) Pic
      Pic









    44. Absence and recovery of cost-precision tradeoff relations in quantum transport
      Matthew Gerry and Dvira Segal
      arXiv:2202.08215 Pic
      Phys. Rev. B 105, 155401 (2022)







    45. Quantum phonon transport through channels and molecules: a perspective
      Bernd Gotsmann, Andrea Gemma, Dvira Segal,
      Applied Physics Letter 120, 160503 (2022). Pic











    46. Strong system-bath coupling effects in quantum absorption refrigerators Pic
      Felix Ivander*, Nicholas Anto-Sztrikacs* and Dvira Segal
      * equal contribution
      arXiv:2111.05302
      Phys. Rev. E 105, 034112 (2022)



    47. Bounds on fluctuations for ensembles of quantum thermal machines Pic
      Matthew Gerry*, Na'im Kalantar*, and Dvira Segal
      * equal contribution
      arXiv:2109.03526
      J. Phys. A: Math. and Theo. 55, 104005 (2022).



    48. Optimal control of quantum thermal machines using machine learning
      Ilia Khait, Juan Carrasquilla, and Dvira Segal
      Physical Review Research 4 (1), L012029 (2022)
      arXiv:2108.12441 Pic









      2021 back to top  

    49. Capturing non-Markovian dynamics with the reaction coordinate method Pic
      Nicholas Anto-Sztrikacs and Dvira Segal
      arXiv:2110.02455
      Phys. Rev. A 104, 052617 (2021)






    50. Periodically-driven quantum thermal machines from warming up to limit cycle
      Junjie Liu, Kenneth A. Jung, Dvira Segal Pic
      arXiv:2106.10594
      Phys. Rev. Lett. 127, 200602 (2021)







    51. Boosting quantum battery performance by structure engineering Pic
      Junjie Liu and Dvira Segal
      arXiv:2104.06522



    52. Universal Bounds on Fluctuations in Continuous Thermal Machines
      Sushant Saryal, Matthew Gerry, Ilia Khait, Dvira Segal, and Bijay Kumar Agarwalla
      arXiv:2103.13513
      Phys. Rev. Lett. 127, 190603 (2021)
      Pic
    53. Strong coupling effects in quantum thermal transport with the reaction coordinate method
      Nicholas Anto Sztrikacs and Dvira Segal
      arXiv:2103.05670
      New Journal of Physics 23, 063036 (2021)
      Pic

    54. Reply to the Comment on: "Loss-free excitonic quantum battery"
      Junjie Liu, Dvira Segal, Gabriel Hanna
      J. Phys. Chem. C 125, 7521 (2021).

    55. Harmonic chains and the thermal diode effect
      Na'im Kalantar, Bijay Kumar Agarwalla and Dvira Segal
      arXiv:2103.00046
      Phys. Rev. E 103, 052130 (2021)

      Pic

    56. Coherences and the thermodynamic uncertainty relation: Insights from quantum absorption refrigerators
      Junjie Liu, Dvira Segal
      arXiv:2011.14518
      Phys. Rev. E 103, 032138 (2021)
      Pic
    57. Hamiltonian Transformability, Fast Adiabatic Dynamics and Hidden Adiabaticity
      L.-A. Wu and D. Segal
      arXiv:2012.04296
      Scientific Reports 11, 4648 (2021).
      (I suggest to read the online version rather than the pdf; inline dot derivatives below Eq. 4 and 11 are not visible enough in the pdf.)


      2020 back to top  

    58. On the definitions and simulations of vibrational heat transport in nanojunctions
      Na'im Kalantar, Bijay K. Agarwalla and Dvira Segal
      arXiv:2008.12755
      JCP 153, 174101 (2020)
      Pic










    59. Quantum Nondemolition Photon Counting With a Hybrid Electromechanical Probe
      Pic Junjie Liu, Hsing-Ta Chen, Dvira Segal
      arXiv:2008.11130
      Phys. Rev. A 102, 061501(R)




    60. Sharp negative differential resistance from vibrational mode softening in molecular junctions
      Pic Junjie Liu and Dvira Segal
      arXiv:2005.11365
      Nano Letters 20, 8, 6128–6134 (2020)








    61. Dissipation-engineering of nonreciprocal quantum dot circuits: An input-output approach Pic
      Junjie Liu and Dvira Segal,
      arXiv:2004.05408 Phys. Rev. B 102, 125416 (2020).




    62. Thermodynamic uncertainty relation in atomic-scale quantum conductors
      Hava Meira Friedman, Bijay K. Agarwalla, Ofir Shein-Lumbroso, Oren Tal, and Dvira Segal,
      Pic arXiv:2002.00284
      Phys. Rev. B 101, 195423 2020
      Editors' Suggesation


    63. Experimental study of the thermodynamic uncertainty relation
      Soham Pal, Sushant Saryal, Dvira Segal, S. Mahesh, Bijay Kumar Agarwalla
      arXiv:1912.08391
      Physical Review Research 2, 022044 (R) (2020)

      Pic











    64. Generalized input-output method to quantum transport junctions. II. Applications
      Pic Junjie Liu and Dvira Segal
      Phys. Rev. B 101, 155407 (2020)







    65. Generalized input-output method to quantum transport junctions. I. General formulation.
      Junjie Liu and Dvira Segal
      arXiv:1911.11696
      Phys. Rev. B 101, 155406 (2020)

      Pic






      2019 back to top  

    66. Cooling condition for multilevel quantum absorption refrigerators Pic
      Hava Friedman and Dvira Segal
      arXiv:1909.09560
      Phys. Rev. E 100, 062112 (2019)






    67. Thermodynamic uncertainty relation in thermal transport
      Sushant Saryal, Hava Friedman, Dvira Segal, and Bijay Kumar Agarwalla, arXiv:1907.10767
      Phys. Rev. E 100, 042101 (2019)
      Pic










    68. Origin of the Anomalous Electronic Shot Noise in Atomic-Scale Junctions Pic
      Anqi Mu a, Ofir Shein Lumbroso a , Oren Tal and Dvira Segal
      a=equal contribution
      arXiv:1907.08200
      J. Phys. Chem. C 123, 23853-23862 (2019)



    69. Interplay of direct and indirect charge transfer pathways in donor-bridge-acceptor systems
      Junjie Liu and Dvira Segal
      ChemRxiv Preprint
      J. Phys. Chem. B 123, 6099-6110 (2019).
      Pic






    70. Thermodynamic uncertainty relation in quantum thermoelectric junctions
      Pic Junjie Liu and Dvira Segal
      arXiv:1904.11963
      Phys. Rev. E, 99, 062141 (2019)




    71. A loss-free excitonic quantum battery
      Pic Junjie Liu, Dvira Segal, Gabriel Hanna
      J. Phys. Chem. C 123 18303-18314 (2019)
      U of Alberta Story Coverage
      Phys Org


    72. Photon statistics of a double quantum dot micromaser: Quantum treatment
      Bijay K Agarwalla, Manas Kulkarni, and Dvira Segal
      arXiv:1903.08209
      Phys. Rev. B 100, 035412 2019
      Pic









    73. Anomalous electronic shot noise in resonant tunneling junctions
      Anqi Mu and Dvira Segal
      arXiv:1902.06312
      Pic










    74. Hybrid quantum-classical simulation of quantum speed limits in open quantum systems
      Junjie Liu, Dvira Segal and Gabriel Hanna,
      arXiv:1812.05779
      Journal of Physics A: Mathematical and Theoretical 52, 215301 (2019).
      Pic



    75. Machine Learning Prediction of DNA Charge Transport
      Roman Korol and Dvira Segal
      arXiv:1812.11642
      J. Phys. Chem. B 123, 2801 (2019).
      Young Scientist Virtual Special Issue
      Pic





    76. Path-integral methodology and simulations of quantum thermal transport: Full counting statistics approach
      Michael Kilgour, Bijay Kumar Agarwalla, and Dvira Segal,
      arXiv:1812.03044
      JCP, 150, 084111 (2019). Editor's pick
      (Special Topic on Dynamics of Open Quantum Systems)
      Pic



    77. Non-Markovian dynamics revealed at the bound state in continuum,
      Savannah Garmon, Kenichi Noba, Gonzalo Ordonez, Dvira Segal,
      arXiv:1808.04781
      Phys. Rev. A 010102 (R) (2019)
      Pic




    78. Principles of Photothermal Gas-Phase Heterogeneous CO2 Catalysis
      Mireille Ghoussoub, Meikun Xia, Paul Duchesne, Dvira Segal, Geoffrey Ozin,

      Pic






      Energy and Environmental Science 12, 1122 (2019)

    79. Phononic heat transport in molecular junctions: quantum effects and vibrational mismatch,
      Roya Moghaddasi Fereidani and Dvira Segal,
      arXiv:1810.09888
      J. Chem. Phys. 150 024105 (2019)
      Pic






    80. On the relationship between the mean first-passage time and the steady state transfer rate in classical chains,
      Na'im Kalantar and Dvira Segal, arXiv:1809.06281
      J. Phys. Chem. C, 123 (2), pp 1021-1031 (2019). (Abraham Nitzan Festschrift)
      pdf
      Pic







      2018 back to top  


    81. Heat transfer statistics in mixed quantum-classical systems,
      Junjie Liu, Chang Yu Hsieh, Dvira Segal, and Gabriel Hanna,
      arXiv:1812.01064
      J. Chem. Phys. 149, 224104 (2018).
    82. Ofir Shein Lumbroso, Lena Simine, Abraham Nitzan, Dvira Segal, and Oren Tal,
      Electronic noise due to temperature difference in atomic-scale junctions
      Nature vol 562, 240-244 (2018)
      Supplementary Info
      Pic










      The paper was highlighted in

      1. Nature News and Views by Elke Scheer and Wolfgang Belzig
      Unexpected noise from hot electrons
      2. Physicsworld.com Today's Headline (Oct 12)
      New type of noise found lurking in nanoscale devices
      3. Behind the Paper (Nature Channel)
      Behind the Paper/ Oren Tal
      4. Phys.org General Physics feature 'Electronic noise due to temperature difference in atomic-scale junctions'
      5. Weizmann Wonder Wander A Tale of Three Noises
      מעשה בשלושה רעשים

    83. B. K. Agarwalla and D. Segal,
      Assessing the validity of the thermodynamic uncertainty relation in quantum systems, Pic
      arxiv:1806:05588
      Phys. Rev. B 98, 155438 (2018)







    84. M. Kilgour and D. Segal,
      Coherence and decoherence in quantum absorption refrigerators
      Pic
      arXiv:1804.10585
      Phys. Rev. E 98, 012117 (2018)






    85. H. M. Friedman, B. K. Agarwalla, and D. Segal,
      Quantum energy exchange and refrigeration: A full-counting statistics approach,
      Pic








      New J. Phys. 20 083026 (2018)
      arXiv:1802.00511

    86. D. Segal,
      Current fluctuations in quantum absorption refrigerators
      Phys. Rev. E 97, 052145 (2018)
      PRE Kaleidoscope
      arXiv:1803.03713
      Pic







    87. R. Korol and D. Segal
      From exhaustive simulations to key principles in DNA nanoelectronics
      arXiv:1712.08515
      J. Phys. Chem. C 122, 8, 4206-4216 (2018).

      Pic

    88. Roman Korol, Michael Kilgour, and Dvira Segal
      ProbeZT: Simulation of transport coefficients of molecular electronic junctions under environmental effects using Buttiker's probes
      Computer Physics Communications 224, 396-404 (2018). pdf

      Pic







      2017 back to top  

    89. Anqi Mu, Bijay Kumar Agarwalla, Gernot Schaller, Dvira Segal
      Qubit absorption refrigerator at strong coupling
      NJP 19, 123034 (2017)
      arXiv:1709.02835
      Pic
    90. Bijay K. Agarwalla, Jian-Hua Jiang, Dvira Segal
      Quantum efficiency bound for continuous heat engines coupled to noncanonical reservoirs
      arXiv:1706.06206
      Phys. Rev. B 96, 104304 (2017) Pic







    91. Bijay Kumar Agarwalla and Dvira Segal
      The Anderson impurity model out-of-equilibrium: Assessing the accuracy of simulation techniques with an exact current-occupation relation
      JCP 147, 054104 (2017)
      1704.00121 Pic








    92. Dvira Segal
      Probing the limits of heat flow
      Science 355, 1125-1126 (2017) (perspective)

      Pic










    93. Hyehwang Kim and Dvira Segal
      Controlling charge transport mechanisms in molecular junctions: Distilling thermally-induced hopping from coherent-resonant conduction
      J. Chem. Phys. 146, 164702 (2017).
      arXiv:1701.08909 Pic









    94. Bijay Kumar Agarwalla and Dvira Segal
      Energy current and its statistics in the nonequilibrium spin-boson model: Majorana fermion representation
      New J. Phys. 19, 043030 (2017).
      arXiv:1612.01008 Pic


    95. Hava Friedman, Bijay Kumar Agarwalla, Dvira Segal,
      Effects of vibrational anharmonicity on molecular electronic conduction and thermoelectric efficiency
      arXiv:1605.02417
      J. Chem. Phys. 146, 092303 (2017) Pic









      2016 back to top  
    96. Roman Korol, Michael Kilgour, and Dvira Segal
      Thermopower of molecular junctions: Tunneling to hopping crossover in DNA.
      arXiv:1609.02474,
      JCP 145, 224702 (2016)
      Pic
    97. Hyehwang Kim, Michael Kilgour, and Dvira Segal
      Intermediate coherent-incoherent charge transport: DNA as a case study.
      arXiv:1607.08663,
      J. Phys. Chem. C 120 (42), 23951-23962 (2016).
      Pic
    98. Bijay Kumar Agarwalla, Manas Kulkarni, Shaul Mukamel, Dvira Segal,
      Giant photon gain in large-scale quantum dot circuit-QED systems Pic
      arXiv:1606.01922 ,
      Phys. Rev. B 94, 121305(R) (2016).






    99. Bijay Kumar Agarwalla, Manas Kulkarni, Shaul Mukamel, Dvira Segal,
      Tunable photonic cavity coupled to a voltage-biased double quantum dot system: Diagrammatic NEGF approach
      arXiv:1604.01811
      Phys. Rev. B 94, 035434 (2016). Pic





    100. M. Kilgour and D. Segal,
      Inelastic effects in molecular transport junctions: The probe technique at high bias Pic
      arXiv:1601.00001
      J. Chem. Phys. 144, 124107 (2016)








    101. B. K. Agarwalla and D. Segal
      Reconciling perturbative approaches in phonon assisted transport junctions Pic arXiv:1512.01740
      JCP 144, 074102 (2016)



    102. D. Segal and B. K. Agarwalla
      Vibrational Heat Transport in Molecular Junctions
      Annu. Rev. Phys. Chem. 2016. 67, 185-209.
      DOI 10.1146/annurev-physchem-040215-112103
      arXiv:1506.08936 Pic


      Pic





      2015 back to top  
    103. B. K. Agarwalla, J.-H. Jiang and D. Segal
      Full counting statistics of vibrationally-assisted electronic conduction: transport and fluctuations of the thermoelectric efficiency
      Pic Phys. Rev. B 92, 245418 (2015) (18 pages)
      arXiv:1508.02475



    104. B. K. Agarwalla, J.-H. Jiang and D. Segal
      Thermoelectricity in molecular junctions with harmonic and anharmonic modes arXiv:1506.03102
      Beilstein J. Nanotechnol. 6, 2129-2139 (2015).
      Thematic series on ''Molecular machines and Devices"
      Pic






    105. Michael Kilgour and Dvira Segal
      Pic Tunneling diodes with environmental effects
      J. Phys. Chem. C, 119, 25291–25297 (2015) arXiv:1509.03006




    106. Jun Jing, Dvira Segal, Baowen Li, Lian-Ao Wu
      Transient unidirectional energy flow and diode-like phenomenon induced by non-Markovian environments
      Pic arXiv:1507.00816
      Scientific Reports 5, 15332 (2015) (8 pages)






    107. Edward Taylor and D. Segal
      Thermoelectric performance of strongly-correlated quantum impurity models Pic
      arXiv:1506.05117
      Phys. Rev. B 92, 125401 (2015)





    108. J.-H. Jiang, M. Kulkarni, D. Segal, and Y. Imry
      Phonon-thermoelectric transistors and rectifiers
      arXiv:1505.01880
      Phys. Rev. B 92, 045309 (2015) Pic





    109. M. Kilgour and D. Segal,
      Charge transport in molecular junctions: From tunneling to hopping with the probe technique
      Pic arXiv:1505.00645
      J. Chem. Phys. 143 024111 (2015)





    110. J.-H. Jiang, B. K. Agarwalla, D. Segal,
      Efficiency Statistics and Bounds of Time-Reversal Symmetry Breaking Systems
      Pic arXiv:1503.043010v1
      Phys. Rev. Lett. 115, 040601 (2015)





    111. E. Taylor and D. Segal,
      Quantum bounds on heat transport through nanojunctions,
      arXiv:1502.03095
      Phys. Rev. Lett. 114, 220401 (2015) Pic




    112. L. Simine, W. J. Chen, and D. Segal,
      Can Seebeck coefficient identify quantum interference in molecular conduction?
      arXiv:1412.6175 ; pdf
      Journal of Physical Chemistry C 119 (22), pp 12097-12108 (2015)

      Pic Pic









      2014 back to top  
    113. S. Bedkihal and D. Segal,
      Magnetotransport in Aharonov Bohm interferometers: Exact numerical simulations
      Pic arXiv:1407.5690; pdf
      Phys. Rev. B 90, 235411 2014








    114. Nazim Boudjada and D. Segal,
      From dissipative dynamics to studies of heat transfer at the nanoscale: Analysis of the Spin-Boson Model
      arxiv:1409.3201; pdf
      Pic J. Phys. Chem. A, 118 (47), 11323–11336 (2014)






    115. D. Segal,
      Heat transfer in the spin-boson model: A comparative study in the incoherent tunneling regime
      Pic PRE 90, 012148 (2014).
      arXiv:1405.6358; pdf








    116. L. Simine and D. Segal,
      Electron transport in nanoscale junctions with local anharmonic modes
      Pic J. Chem. Phys. 141, 014704 (2014)
      arXiv:1404.7570; pdf







    117. D. Segal,
      Two-level system in spin baths: Non-adiabatic dynamics and heat transport
      J. Chem. Phys. 140, 164110 (2014).
      arXiv:1403.0897; pdf
      H S S = 1 2 ω 0 σ z + 1 2 Δ σ x + 1 2 ν , j ω j σ z ν , j + 1 2 σ z ν , j λ ν , j σ x ν , j .

    118. A tribute to Paul Brumer in the Canadian Journal of Chemistry pdf Pic
      D. Segal (Guest Editor), Can. J. Chem, 92(2): v (2014).








    119. A. Dodin, S. Garmon, L. Simine, and D. Segal
      Landau-Zener transitions mediated by an environment: population transfer and energy dissipation
      Pic J. Chem. Phys. 140, 124709 (2014)
      arXiv:1401.3770; pdf






      2013 back to top   Pic
    120. S. Bedkihal , M. Bandyopadhyay, and D. Segal
      The probe technique far-from-equilibrium: Magnetic field symmetries of nonlinear transport
      arXiv:1310.1409 pdf (with some extensions over the arXiv version)
      The European Physical Journal B 86 506 (2013)


    121. S. Bedkihal, M. Bandyopadhyay, and D. Segal
      Magnetic field symmetries of nonlinear transport with elastic and inelastic scattering
      Physical Review B 88 155407 (2013) pdf
      arXiv:1306.6491v1


    122. L. Simine and D. Segal
      Path-integral simulations with fermionic and bosonic reservoirs: Transport and dissipation in molecular electronic junctions
      J. Chem. Phys. 138, 214111 (2013)   Pic pdf
      arXiv:1302.5761



    123. D. Segal
      Pic Qubit-mediated energy transfer between thermal reservoirs: beyond Markovian Master equation
      arXiv:1303.5815
      Phys. Rev. B 87, 195436 (2013) pdf  



      Pic
    124. S. Garmon, T. Petrosky, L. Simine, and D. Segal
      Amplification of non-Markovian decay due to bound state absorption into continuum
      Progress of Physics 61, 261-275, (2013)   pdf  
      arXiv:1204.6141


    125. Salil Bedkihal, Malay Bandyopadhyay, Dvira Segal
      Flux-dependent occupations and occupation difference in geometrically symmetric and energy degenerate double-dot Aharonov-Bohm interferometers
      Pic 1210.6867
      Phys. Rev. B 87, 045418 (2013)   pdf  





    126. Lian-Ao Wu, Dvira Segal, Paul Brumer
      No-go theorem for ground state cooling given initial system-thermal bath factorization
      arXiv:1210.4394
      Scientific Reports 3, 1824 (2013) Journal website


    127. M. Kulkarni, K. L. Tiwari, and D. Segal
      Full density matrix dynamics for large quantum systems: Interactions, Decoherence and Inelastic effects
      arXiv:1208.5725
      New J. Phys. 15 013014 (2013) pdf


    128. L.-A. Wu, C. X. Yu, and D. Segal,
      Pic Exact dynamics of interacting qubits in a thermal environment: Results beyond the weak coupling limit
      arXiv:1207.6995
      New J. Phys. 15 023044 (2013)   pdf




      2012 back to top  
    129. M. Kulkarni, K. L. Tiwari, and D. Segal
      Towards equilibration and thermalization between finite quantum systems: The role of dephasing effects and inelastic interactions
      Pic arXiv:1206.2408 Phys. Rev. B 86, 155424 (2012)   pdf






    130. L. Simine and D. Segal
      Vibrational cooling, heating, and instability in molecular conducting junctions: Full counting statistics analysis Pic
      arXiv:1203.3910
      pdf Phys. Chem. Chem. Phys. 14 , 13820 - 13834 (2012)




    131. S. Garmon, I. Rotter, N. Hatano, and D. Segal
      Analysis technique for exceptional pointes in open quantum systems and QPT analogy for the appearance of irreversibility Pic
      arXiv:1107.1759
      Int. J. Theo. Phys. 51:3536- 3550 (2012)   pdf




    132. S. Bedkihal and D. Segal
      Pic Dynamics of coherences in the interacting double-dot Aharonov-Bohm interferometer: Exact numerical simulations
      arXiv:1201.2876
      Phys. Rev. B 85, 155324 (2012)   pdf

      2011
      back to top   Pic
    133. C. X. Yu, L.-A. Wu, and D. Segal
      Theory of quantum energy transfer in spin chains: From superexchange to ballistic motion
      arXiv:1107.4334 arXiv
      JCP 135, 234508 (2011). pdf




    134. L. Nicolin and D. Segal
      Quantum fluctuation theorem for heat exchange in the strong coupling regime Pic
      arXiv:1106.0353
      Phys. Rev. B, 84, 161414 (2011) pdf



      Pic
    135. L. Nicolin and D. Segal
      Non-equilibrium spin-boson model: Counting statistics and the heat exchange fluctuation theorem
      arXiv:1108.3750
      JCP 135, 164106 (2011) pdf



    136. M. Bandyopadhyay and D. Segal
      Quantum heat transfer in harmonic chains with self consistent reservoirs: Exact numerical simulations Pic arXiv
      Phys. Rev. E 84, 011151 (2011) pdf



    137. L.-A. Wu and D. Segal, Pic
      Quantum effects in thermal conduction: Nonequilibrium quantum discord and entanglement
      Phys. Rev. A 84, 012319 (2011) pdf
      arXiv


    138. D. Segal, A. J. Millis, and D. R. Reichman,
      Nonequilibrium transport in quantum impurity models: Exact path integral simulations
      PCCP 13, 14378 (2011). pdf
      arXiv:1103.1867v1 arXiv


    139. M. Bandyopadhyay, S. Gupta and D. Segal Pic
      DNA breathing dynamics: Analytic results for distribution functions of relevant Brownian functionals
      Phys. Rev. E 83 0313905 (2011) ; arXiv 1012.0770 pdf


    140. L.-A. Wu and D. Segal,
      Quantum heat transfer: A Born-Oppenheimer method
      Phys. Rev. E 83, 051114 (2011) ; arXiv:1009.2039 pdf


      2010 back to list  
    141. D. Segal, A. J. Millis, and D. R. Reichman, Pic
      Numerically exact path integral simulation of nonequilibrium quantum transport and dissipation
      Phys. Rev. B 82, 205323 (2010).
      Editors' Suggestion pdf




    142. Y. Zhou and D. Segal Pic
      Interface effects in thermal conduction through molecular junctions: Numerical simulations
      JCP 133 094101 (2010). pdf






    143. Y. Zhou and D. Segal
      Pic Minimal model of a heat engine: An information theory approach
      Phys. Rev. E 82, 011120 (2010) pdf






    144. L.-A. Wu, D. Segal, Inigo L. Egusquiza, and P. Brumer Pic
      Universality in exact quantum state population dynamics and control
      Phys. Rev. A, 82, 032307 (2010). pdf


    145. L. Nicolin and D. Segal Pic
      Thermal conductance of the Fermi-Pasta-Ulam chains: Atomic to mesoscopic transition
      Phys. Rev. E 81, 040102 (2010) (Rapid) pdf



    146. C. X. Yu, L.-A. Wu, and D. Segal
      Symmetry properties of the heat current in non-ballistic asymmetric junctions: A case study
      Phys. Lett. A 374, 765 (2010). pdf


      2009 back to list  
    147. Pic L.-A. Wu, C. X. Yu, and D. Segal
      Nonlinear quantum heat transfer in hybrid structures: Sufficient conditions for thermal rectification. pdf
      PRE 80, 041103 (2009).

    148. L.-A. Wu, S. S. Wu, and D. Segal
      Looking into DNA breathing dynamics via quantum physics
      arXiv:0902.3850. pdf
      Phys Rev. E 79, 061901 (2009).


    149. L.-A. Wu and D. Segal, Pic
      Sufficient conditions for thermal rectification in hybrid quantum structures
      Phys. Rev. Lett. 102, 095503 (2009). pdf


      Pic
    150. D. Segal,
      Vibrational relaxation in the Kubo oscillator: Stochastic pumping of heat
      J. Chem. Phys. 130, 134510 (2009). pdf



    151. D. Segal, Pic
      Absence of thermal rectification in asymmetric harmonic chains with self consistent reservoirs: An exact analysis.
      Phys. Rev. E 79, 012103 (2009). pdf



    152. L.-A. Wu and D. Segal,
      Energy flux operator, current conservation and the formal Fourier's law,
      J. Phys. A: Math. and Theo. 42, 025302 (2009). pdf

      2008 back to list  
    153. Pic D. Segal,
      Stochastic pumping of heat: Approaching the Carnot efficiency,
      Phys. Rev. Lett. 101, 260601 (2008). pdf




    154. D. Segal,
      Thermal conduction in molecular chains: Non-Markovian effects, Pic
      J. Chem. Phys. 128, 224710 (2008). pdf




    155. D. Segal, Pic
      "Single mode heat rectifier: Controlling energy flow between electronic conductors",
      Phys. Rev. Lett. 100, 105901 (2008) pdf



    156. L.-A. Wu and D. Segal,
      " Fourier's law of heat conduction: Quantum mechanical master equation analysis ",
      Phys. Rev. E 77, 060101(R) (2008). pdf


    157. D. Segal, Pic
      "Nonlinear thermal control in an N-terminal junction ",
      Phys. Rev. E 77, 021103 (2008). pdf





      2007 back to list  
    158. D. Segal, D. R. Reichman and A.J. Millis,
      "Nonequilibrium quantum dissipation in spin-fermion systems ",
      Phys. Rev. B 76, 195316 (2007). pdf


    159. D. Segal, D. R. Reichman,
      "Zeno and anti-Zeno dynamics in spin-bath models",
      Phys. Rev. A 76, 012109 (2007). pdf


    160. Dvira Segal, Petr Kral, Moshe Shapiro,
      Electric Control on the Nanoscale Using Tubular Image States
      Israel Journal of Chemistry 47, 105 (2007) Special Issue:Molecular Reaction Dynamics
    161. D. Segal, Pic
      "Heat flow in nonlinear molecular junctions: Master equation analysis ",
      Phys. Rev. B, 73, 205415 (2006). pdf





    162. D. Segal, A. Nitzan, Pic
      "Molecular heat pump",
      Phys. Rev. E.  73, 026109 (2006). pdf






    163. D. Segal, M. Shapiro,
      "Trapping of a single electron in a nanoscale Paul trap",
      Nano Lett.  6, 1622 (2006). pdf



    164. D Segal, T Seideman, G Kurizki, M Shapiro,
      Enhancement of nuclear tunneling through Coulomb-barriers using molecular cages,
      Chemical physics letters 420 (1), 241-244 (2006).

    165. Pic D. Segal, B. E Granger, H. Sadeghpour, P. Kral, M. Shapiro,
      "Tunable bands of electronic image states in nanowire lattices",
      Phys. Rev. Lett. 94,  016402 (2005). pdf

    166. D Segal, P Král, M Shapiro,
      Reentrant onset of chaos in tubular image states,
      The Journal of chemical physics 122 (13), 134705 (2005).

    167. P Král, D Segal, M Shapiro, I Thanopulos, BE Granger, HR Sadeghpour,
      Bands of Image States in Nanowire Lattices and Infrared‐Control of Proteins on Nanotube Ropes,
      Fullerenes, nanotubes, and carbon nanostructures 13 (S1), 267-274 (2005)

    168. D Segal, P Král, M Shapiro,
      Ultraslow phonon-assisted collapse of tubular image states,
      Surface science 577 (1), 86-92 (2005).

    169. D Segal, P Král, M Shapiro,
      Electric and magnetic-field tuning of tubular image states above suspended nanowires,
      Chemical physics letters 392 (4), 314-318 (2004).


    170. D. Segal, A. Nitzan, Heat rectification in molecular junctions
      J. Chem. Phys. 122, 194704 (2005)
    171. D. Segal, A. Nitzan, Pic
      "Spin-boson thermal rectifier",
      Phys. Rev. Lett. 94, 034301 (2005). pdf




    172. D. Segal,
      "Thermoelectric effect in molecular junctions: A tool for revealing transport mechanisms", Pic
      Phys. Rev. B, 72, 165426 (2005). pdf




    173. D. Segal, P. Kral, M. Shapiro,
      " Shaping of detached image states above suspended nanowires ",
      Phys. Rev. B 69, 153405 (2004). pdf


    174. D. Segal, A. Nitzan, P. Hanggi,
      " Thermal conductance through molecular wires ",
      J. Chem. Phys. 119, 6840 (2003). pdf

    175. D. Segal and A. Nitzan,
      Heating in current carrying molecular junctions,
      J. Chem. Phys. 117, 3915-3927 (2002).

    176. D Segal, A Nitzan,
      Conduction in molecular junctions: inelastic effects
      Chemical physics 281 (2), 235-256 (2002) , arXiv:cond-mat/0207048

    177. D Segal, A Nitzan,
      Steady-state quantum mechanics of thermally relaxing systems,
      Chemical Physics 268 (1), 315-335 (2001)

    178. D. Segal, A. Nitzan, M. Ratner, and W. B. Davis,
      Activated conduction in microscopic molecular junctions,
      J. Phys. Chem. B. 104, 2790-2793 (2000).

    179. D. Segal, A. Nitzan, W. B. Davis, M. R. Wasielewsky, and M. A. Ratner,
      Electron transfer rates in bridged molecular systems: A steady state analysis of coherent tunneling and thermal transitions,
      J. Phys. Chem. B. 104, 3817-3829 (2000).

    180. M. Galperin, D. Segal, and A. Nitzan,
      Perturbation theory approach to tunneling: Direct and resonance transmission in super-exchange models,
      J. Chem. Phys. 111 , 1569-1579 (1999)





  • Journals:

    Physics Today
    PRL NJP Nature Comm Nature Nano Nature Physics Science
    JCP JPCC Chemical Science
    Nano Lett
    ACS Nano
    Nature Reviews Physics Annual Reviews: Condensed Matter Physics Annual Review of Physical Chemistry Rev Modern Physics NPJ Quantum Information Reports on Progress in Physics Nanoscale Accounts of Chemical Research Chemical Reviews